트리
계층적인 자료를 표현하기 위한 비선형 자료구조
코드 예시
1. 트리 용어
1) 노드: 트리의 기본 요소
•
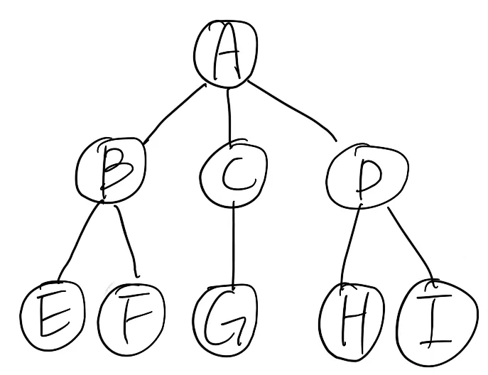
위 트리의 A, B, C등을 의미
•
루트노드(root) : 트리에서 가장 높은 곳에 있는 노드(A)
◦
트리 {B, E, F}의 루트노드는 (B)이다
•
부모노드(parent), 자식노드(children), 형제노드(sibling)
◦
노드(B)의 부모노드는 노드(A)
◦
노드(A)의 자식노드는 {B, C, D}이다
◦
노드(B)의 형제노드는 {C, D}이다
•
조상노드(ancester node), 후손노드(descendent node)
◦
조상노드 : 어떤노드의 부모노드부터 루트노드까지를 포함하는 노드
◦
후손노드 : 어떤노드의 하위에 연결된 모든 노드
•
단말노드(terminal node 또는 leaf node) : 자식노드가 없는 노드
2) 서브 트리 : 루트노드를 제외한 나머지 노드들의 집합
•
트리의 {A, B, C, D, E, F, G, H, I}중에 루트노드(A)를 제외한 {B, E, F}/{C, G}/{H, I} 각각이 서브 트리가 된다
3) 간선(edge) : 루트노드와 서브트리를 연결하는 선
4) 차수(degree) : 어떤노드가 가지는 자식노드의 개수
•
루트노드(A)의 차수 : 3
5) 레벨(level) : 정의에 의해 트리의 각 층 정해진 번호
•
루트노드(A)의 레벨이 1일때, 자식노드(B)의 레벨은 2가 된다
6) 높이(height) : 트리가 갖는 최대 레벨
•
위 트리의 최대 레벨은 노드(E)와 형제노드가 갖는 3이므로 높이는 3이다
7) 포리스트(forest) : 트리들의 집합
2. 이진 트리
1) 모든 노드가 2개의 서브 트리를 갖는 트리(서브트리는 공집합일 수 있다 → 공집합도 이진트리)
•
모든 노드의 차수가 '2'이하인 트리
•
모든 노드가 2개 이하의 자식노드를 갖는 트리
•
서브 트리간의 순서가 존재하고 왼쪽 서브 트리와 오른쪽 서브 트리가 구분된다
•
각각의 서브 트리 또한 이진 트리이다
2) 순환적인 정의를 갖는다
1.
공집합 또는
2.
루트, 왼쪽 서브 트리, 오른쪽 서브 트리로 구성된 노드들의 유한집합
3) 이진 트리의 분류
1.
포화 이진트리(full binary tree)
•
트리의 각 레벨에 노드가 꽉 차있는 이진트리
2.
완전 이진트리(complete binary tree)
•
높이가 h일때, h-1까지는 포화 이진트리이고 마지막 레벨 h에서는 왼쪽부터 오른쪽으로 노드가 순서대로 채워진 트리
3. 기타 이진트리
4) 이진 트리의 순회
1.
전위 순회(Preorder Traversal)
V->L->R
2.
중위 순회(Inorder Traversal)
L->V->R
3.
후위 순회(Postorder Traversal)
L->R->V
위 3가지 순회를 재귀 방식으로 구현하면 종료 조건은 노드가 NULL일 때이다
4.
레벨 순회(Level Traversal)
•
레벨을 증가시키며(아래로 내려가며) 탐색
•
동일한 레벨 상에서 좌->우로 순회하는 방식
•
자료구조 중 큐를 사용하는 순회이다
2. 이진 탐색 트리
이진 트리 기반의 탐색을 위한 자료구조
1) 이진 탐색 트리의 정의
•
모든 원소의 키는 유일한 키를 가진다
•
왼쪽 서브 트리 키들은 루트 키보다 작다
•
오른족 서브 트리 키들은 루트 키보다 크다
•
왼쪽과 오른쪽 서브 트리도 이진 탐색 트리이다
•
* 키(key)란 탐색에서 항목들을 구분하기 위해 레코드마다 가지는 고유한 값을 의미
2) 이진 '탐색' 트리
•
특정한 키값을 가진 노드를 찾기 위해 루트 노드를 기준으로 탐색한다
•
루트 노드.key == 탐색노드.key // 탐색 성공
•
루트 노드.key <= 탐색노드.key // 루트 노드의 오른쪽 자식 노드를 기준으로 다시 비교
•
루트 노드.key >= 탐색노드.key // 루트 노드의 왼쪽 자식 노드를 기준으로 다시 비교






