<Image Enhancement>
contrast
•
산술 연산 (밝기 조절 : + - / 명암 대비 : x ÷)
•
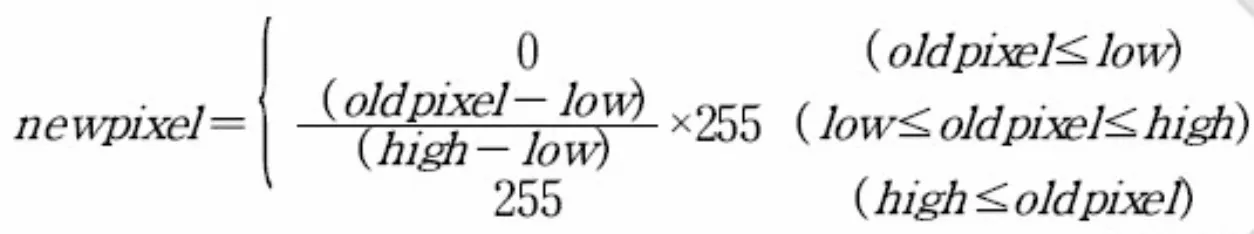
gray level transformation → contrast stretching
◦
기본 명암 대비 스트레칭 : 중앙에 치우침(가우시안) → 모든 범위로 확장
◦
엔드인 탐색 : 모든 범위 있으나, 특정 부분에 치우침
•
histogram equalization
◦
look-up table (히스토그램에서 평균값 구함)
noise
노이즈 종류
•
salt&pepper / impulse / Gaussian
filter & convolution
•
mean kernel : 경계 훼손됨
•
Gaussian kernel : 중앙에서 가까울수록 가중치를 두어 경계 훼손 덜함
•
median : 중앙값
morphological
•
dilation
•
erosion


